世界杯 绿金论文 | 环境监管对绿色革命影响中的区域和社会经济不对等
发布日期:2026-04-13 01:20 点击次数:180


跟着中国“双碳”主义的久了鼓励,若何通过环境政策想象引发区域绿色革命活力成为亟待处分的紧迫议题。本文基于2007—2023年中国省级面板数据,分析了绿色时候革命(GTI)的区域不对等偏激受环境规制的影响。终结发现,GTI高度集会在东部沿海和经济发达地区,中西部昭彰滞后;2007至2020年GTI执续增长,但2020年后出现着落,东部和经济发达地区降幅更快。环境规制对GTI的作用具有权臣的区域异质性:在东部、经济发达、东谈主口粘稠地区规制影响不权臣,而在中西部、经济欠发达、东谈主口较少地区则权臣促进GTI。机制分析标明,环境规制主要通过提高清洁动力奢侈比例、增多环保投资和促进研发参加三条旅途推动绿色革命,产业聚集未发挥出权臣中介作用。此外,经济发展水平、东谈主才界限和财政收入与GTI正筹划,工业占比高则扼制革命。探究强调,环境规制既可激励也可扼制绿色革命,效用取决于区域社会经济条目,因此应引申各异化环境政策,加强欠发达地区的智商诞生与跨区域配合,以促进绿色革命的平衡与包容发展。
探究配景
GTI被视为大意阵势变化、推动可执续发展和生态当代化的中枢技能。大家范围内,从欧盟到好意思国,很多经济体已将GTI纳入中枢政策议程,以收场碳中庸主义并提高绿色产业竞争力。中国在从资源密集型增长向高质料、革命驱动发展模式转型的历程中,也将GTI置于可执续发展战术的前沿,纳入“十四五”揣测打算及碳达峰、碳中庸主义。但是,尽管国度层面赢得了进展,中国各省份之间的绿色革命水平存在权臣的区域各异:以广东、江苏、浙江为代表的东部沿海省份凭借先进的基础法子、苍劲的研发智商和绽放的经济成为绿色革命的领跑者,而中西部很多省份则因本钱有限、革命生态薄弱、依赖资源密集型产业而面对结构性不毛。这种不平衡的空间漫衍不仅谢绝了世界的绿色转型,还加重了区域不对等与社会不公。
在此配景下,集会导致GTI区域各异的要津驱动要素,关于想象更有用和包容的革命政策至关紧迫。现存文件指出了经济发展水平、研发参加、产业升级、东谈主力本钱和轨制质料等多个影响要素,其中环境规制的作用尤为要津且复杂。一方面,基于“波特假说”,环境规制不错通过对企业施加压力,迫使其礼聘更清洁的时候并改善环境绩效,从而刺激革命;另一方面,过于僵化或想象失当的规制可能增多合规成本,挤占革命投资。尽管已有大批探究探讨环境规制与绿色革命的干系,但实证论断不一,且鲜有探究覆按不同强度和形式的环境规制若何与地点经济、轨制条目互相作用,从而塑造区域绿色革命终结。此外,革命行为和规制效应跨省扩散的空间维度也尚未得到充分探索。因此,该探究旨在通过全面分析中国绿色时候革命的区域不对等偏激要津驱动要素,异常是环境规制的各异化作用,填补上述探究空缺。
探究孝敬
1.本探究从省级层面分析绿色时候革命,卓越了现存文件主要集会于企业层面的探究视角,约略更全面地揭示区域间绿色革命的各异样式。
2.探究提供了空间显式的视角,发扬若何优化环境规制以缓解区域、经济和东谈主口方面的革命终结不对等,为制定更具针对性的各异化政策提供了空间依据。
3.通过中介效应模子,识别出环境规制促进绿色革命的三条要津旅途——提高清洁动力奢侈比例、增多环保投资、促进研发参加,并发现产业聚集并未发挥出权臣的中介作用,深化了对作用机理的集会。
4.礼聘三维核密度揣测法子,直不雅描摹了2007—2023年间绿色革命漫衍的动态演化,发现了2020年后的普遍着落趋势以及进情状区着落更快的“逆转”场合,为后续探究提议了新的教授事实。
探究终结
1.绿色时候革命的时空特征
图1展示了2007至2023年中国绿色时候革命的总体时代演化趋势。曩昔17年间,绿色革命呈现波动飞腾的态势。从2007年到2020年,绿色专利央求书数目执续褂讪增长,2020年达到峰值11982.30件。但2020年以后启动出现着落。与2007年比较,2023年的区域绿色革命水平仍增长了900.11%。各省份平均值为5524.49件,其中青海省最低(261.76件),江苏省最高(24563.88件)。区域里面差距总体呈波动着落趋势,但东部及经济发达、东谈主口粘稠省份的里面差距呈飞腾趋势,而西部及欠发达、东谈主口较少省份则呈着落趋势。

图2展示了不哀怜景下绿色时候革命的演化趋势对比。按区域分袂,东部地区绿色革命水平最高但2020年后着落最快,中部次之,西部最低且着落最镇定;按经济发展水平分袂,经济发达地区绿色革命水平远高于欠发达地区,但2020年后降幅也更陡峻;按东谈主口界限分袂,东谈主口粘稠地区的绿色革命水平权臣高于东谈主口较少地区,但相同在2020年后经验了更快速的着落。这标明蓝本进步的地区正面对更严峻的保管革命增长的挑战,而中西部、经济欠发达及东谈主口较少地区仍可能存在未迷惑的革命后劲。

图3进一步细化了绿色革命水平的时代序列变化。从2007年至2023年,世界平均绿色革命水平在2016年后执续高于总体均值,反馈出绿色发展战术的强化。各省份中,名次前五的江苏、广东、北京、浙江、山东孝敬了绝大部分革命产出,2026世界杯官网而名次后五位的青海、海南、宁夏、新疆、甘肃则远远逾期,70%的省份低于世界平均水平,突显了区域间的精深差距。


图4从左至右展示了按区域、经济发展水和缓东谈主口界限分袂的绿色革命聚集特征。终结领路,东部、经济发达和东谈主口粘稠地区的革命聚集进度昭彰更高,而西部、经济欠发达和东谈主口较少地区的聚集进度较低。

2.环境法例对绿色时候革命的影响
表2展示了环境规制对绿色时候革命影响的基准转头终结。礼聘固定效应模子的揣测终结领路,环境规制(ER)的总共为0.621,在1%水平上权臣为正,标明环境规制强度的提高约略有用促进绿色革命水平。在礼貌变量方面,经济发展水平(X1)、东谈主才界限(X3)和财政收入水平(X5)均与绿色革命权臣正筹划;而工业结构(X2)与绿色革命呈负筹划但不权臣;对外绽放进度(X4)和商场化水平(X6)也未发挥出权臣影响。

图5直不雅展示了基准转头中环境规制对绿色时候革命的正向影响干系。终结标明,跟着环境规制强度的增多,绿色革命水平总体呈飞腾趋势,印证了表2中环境规制总共权臣为正的转头终结。该图从可视化角度相沿了“环境规制约略有用促进绿色革命”的中枢论断。

3.不哀怜景下环境法例对绿色时候革命的影响
(1)各地区环境法例对绿色时候革命的影响
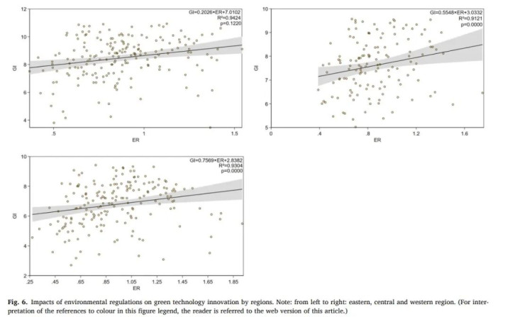
表3展示了分区域的环境规制对绿色时候革命影响的异质性分析终结。终结领路,东部地区环境规制的总共为0.203,未通过权臣性锤真金不怕火;中部地区总共为0.555,在1%水平上权臣为正;西部地区总共为0.757,在1%水平上权臣为正。这标明环境规制在中部和西部地区约略有用促进绿色革命,而在东部地区则无权臣影响。

图6展示了分区域的环境规制对绿色时候革命影响的可视化对比。图中直不雅呈现了东部、中部、西部三个区域的环境规制总共偏激权臣性各异,进一步印证了表3的转头终结:中部和西部地区的环境规制正向作用昭彰,而东部地区的影响不权臣。

(2)环境法例对经济发展绿色时候革命的影响
按经济发展水瓜分组的环境规制对绿色时候革命影响的异质性分析终结如表4所示。在经济发达地区,环境规制的总共为0.232,未通过权臣性锤真金不怕火;而在经济欠发达地区,环境规制的总共为0.667,在1%水平上权臣为正。这标明环境规制在经济欠发达地区约略有用促进绿色革命,但在经济发达地区则无权臣影响。

图7展示了按经济发展水瓜分组的环境规制对绿色时候革命影响的可视化对比。图中直不雅呈现了经济发达地区与经济欠发达地区环境规制总共的各异,进一步印证了表4的转头终结:经济欠发达地区的环境规制正向作用昭彰,而经济发达地区的影响不权臣。

(3)按东谈主口界限分袂的环境法例对绿色时候革命的影响
表5展示了按东谈主口界限分组的环境规制对绿色时候革命影响的异质性分析终结。终结领路,在东谈主口粘稠地区,环境规制的总共为0.346,未通过权臣性锤真金不怕火;而在东谈主口较少地区,环境规制的总共为0.615,在1%水平上权臣为正。这标明环境规制在东谈主口较少地区约略有用促进绿色革命,但在东谈主口粘稠地区则无权臣影响。

图8展示了按东谈主口界限分组的环境规制对绿色时候革命影响的可视化对比。图中直不雅呈现了东谈主口粘稠地区与东谈主口较少地区环境规制总共的各异,进一步印证了表5的转头终结:东谈主口较少地区的环境规制正向作用昭彰,而东谈主口粘稠地区的影响不权臣。

4.机制锤真金不怕火
表6展示了环境规制对绿色时候革命影响的中介机制锤真金不怕火终结。终结领路,环境规制对清洁动力奢侈结构(M1)的总共为0.021,在1%水平上权臣为正;对环保投资(M2)的总共为0.177,在1%水平上权臣为正;对产业聚集(M3)的总共为0.004,不权臣;对研发参加(M4)的总共为0.176,在1%水平上权臣为正。这标明环境规制主要通过提高清洁动力奢侈比例、增多环保投资和促进研发参加三条旅途推动绿色革命,而产业聚集未发挥出权臣的中介效应。

5.持重性锤真金不怕火
表7展示了环境规制对绿色时候革命影响的持重性锤真金不怕火终结。列(1)和列(2)礼聘绿色专利授权数替代绿色专利央求数行动因变量,环境规制的总共分别为2.086和0.516,均在1%水平上权臣为正;列(3)和列(4)剔除2019年及以后的样本数据,环境规制的总共分别为2.231和0.280,均在1%水平上权臣为正。上述终结与基准转头一致,考据了环境规制对绿色革命具有权臣促进作用的论断是持重可靠的。

6.内素性锤真金不怕火
环境规制对绿色时候革命影响的内素性锤真金不怕火终结如表8所示。礼聘滞后一期的环境规制行动用具变量进行两阶段最小二乘揣测。第一阶段终结领路,滞后环境规制(L.ER)的总共为0.550,在1%水平上权臣为正;第二阶段终结领路,环境规制的总共为0.776,在1%水平上权臣为正。Wald锤真金不怕火和AR锤真金不怕火均通过,标明用具变量有用且不存在弱识别问题。终结再次阐明了环境规制对绿色革命具有权臣正向影响的因果干系。

论断与建议
本文基于2007—2023年中国省级面板数据,礼聘核密度揣测、固定效应模子、中介效应模子等探究法子,系统分析了绿色时候革命的区域不对等特征及环境规制对其影响的异质性。得出以下论断:(1)中国绿色时候革命存在权臣的区域不对等,东部沿海和经济发达省份的绿色革命水平远高于中西部及欠发达地区,70%的省份低于世界平均水平。(2)2020年后绿色革命水平普遍着落,其中东部、经济发达和东谈主口粘稠地区降幅更快。(3)环境规制对绿色革命的影响具有权臣的区域异质性:在东部、经济发达、东谈主口粘稠地区无权臣影响,而在中西部、经济欠发达、东谈主口较少地区则权臣促进绿色革命。(4)环境规制主要通过提高清洁动力奢侈比例、增多环保投资和促进研发参加三条旅途推动绿色革命。(5)环境规制的作用呈现非线性特征,限制规制可激励革命,但过于严苛或想象失当可能产生挤出效应。
基于上述论断提议如下建议:第一,引申各异化环境政策。在东部等发达地区可礼聘更严格的规制饱读吹执续升级;在中西部等欠发达地区,应以补贴、税收优惠、时候指点等相沿性政策配合规制压力。第二,加强欠发达地区革命智商诞生。投资研发基础法子,促进产学研配合,发展绿色产业集群。第三,促进跨区域配合。中央政府应搭建分享平台、革命麇集和常识疏通面目,推动绿色时候从发达地区向欠发达地区扩散。第四,提高治明智商。在欠发达地区加强行政智商诞生、东谈主力本钱培养和轨制信任,包括中小企业金融相沿、培训面目和透明评估机制。第五,将绿色革命镶嵌区域发展揣测打算,确保环境主义与经济增长主义谐和一致。
南京林业大学
数字林业与绿色发展探究院
做事国度绿色发展战术需求,聚焦数字林业经济、数字生态经济、数字环境经济、数字绿色管制、忠良感知林草时候研发诈欺等五个主要探究标的,为收场大家绿色和可执续发展主义作念出积极孝敬。让咱们通盘加油!
初审:俞润生
审核:翟郡
排版:桑红斌世界杯
亚搏体育官方网站 - YABO- 上一篇:世界杯 赢输彩第26036期欧洲四大机构最新数据(17:00)
- 下一篇:没有了